Екатерина Игоревна
22 дек. 2025 в 17:36Рассмотрим задачу. Дана матрица линейного оператора:

Необходимо найти собственные значения, собственные и присоединённые векторы матрицы, а также вид матрицы в базисе из собственных и присоединённых векторов.

В нашем случае

Вычислим определитель 3 степени и приравняем к 0, получим характеристическое уравнение:

Корнями данного уравнения являются

Это и есть наши собственные значения.
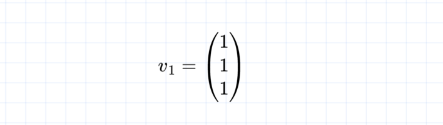
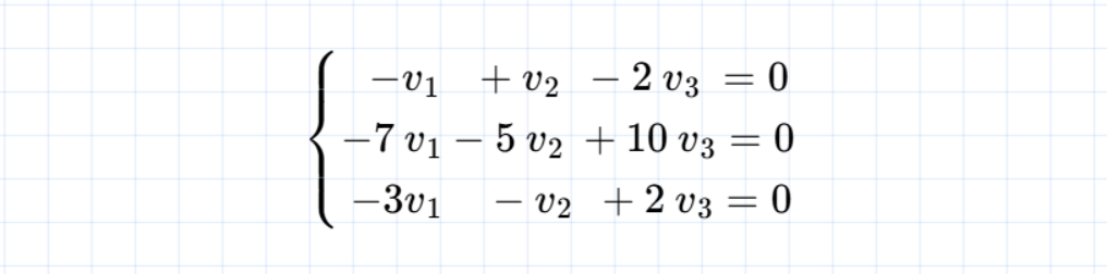
Для λ = 3 решим систему (A−3I)v=0.


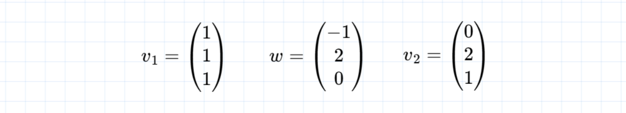
Решив систему, получим собственный вектор

Для λ=5 решим систему (A−5I)v=0:


Решив, получаем второй собственный вектор

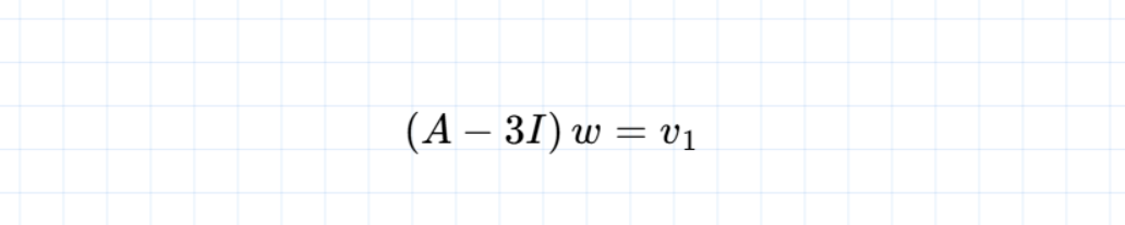
Для λ=3 (кратности 2) размерность собственного подпространства равна 1, поэтому требуется присоединённый вектор.
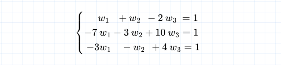
Для этого решим систему



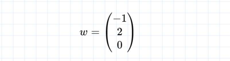
Произведя несложные вычисления получим присоединенный вектор


Запишем матрицу перехода

Матрица в новом базисе вычисляется по формуле

Наша матрица в новом базисе имеет вид:
