Екатерина Игоревна
6 дек. 2025 в 21:27Рассмотрим задачу

В реальной жизни, чтобы максимально точно посчитать нам нужно знать ряд факторов влияющих на рост мха: влажность, температура, тип почвы.. Но когда мы сталкиваемся в математике с жизненными задачами условия стремятся к идеальным. Идеализация происходит по нескольким причинам:
Идеализированные условия позволяют:
сосредоточиться на основном математическом принципе;
отработать алгоритм решения без отвлекающих деталей;
проверить понимание теории через «идеальный» пример.
Идеальные условия гарантируют:
единственность решения (нет неоднозначности из‑за неполных данных);
воспроизводимость результата (все получат одинаковый ответ при верных расчётах);
проверяемость (преподаватель может точно сравнить с эталоном).
В учебных задачах условия должны быть понятны, решение ограничено по времени, а данные должны быть удобны для вычислений.
Реальные системы зачастую слишком сложны для начального анализа, тем временем идеализация создает базовую модель, позволяет последовательно усложнять условия.
Задачу про мох можно решить как в 5 классе - логически,

так и в 9 - через формулы для геометрической прогрессии

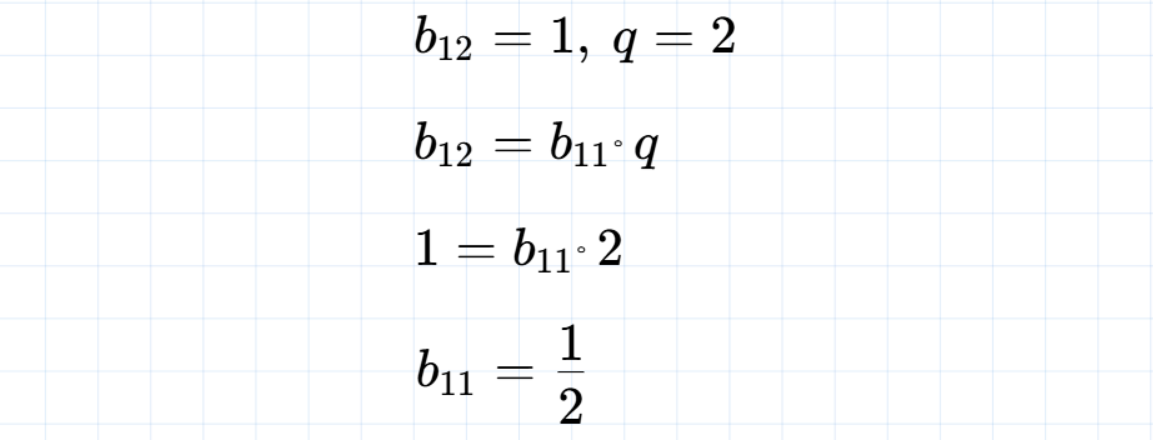
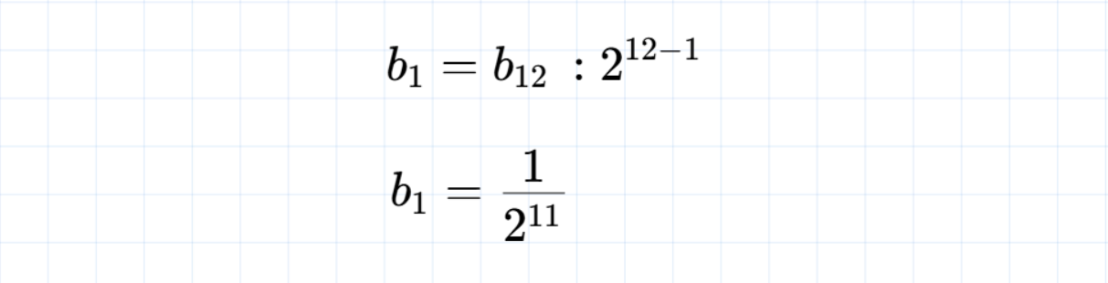
В нашей задаче следующие данные

Следовательно, за 11 дней камень зарастет наполовину.
Не сложно посчитать какая часть камня была покрыта мхом в первый день

То есть приблизительно 0,00049 часть камня должна быть покрыта мхом, чтобы за 12 дней покрыть его полностью.

Стоит отметить, что одной из привлекательных черт математики, как раз, является возможность изучать задачи в идеализированных условиях, что позволяет развивать логическое мышление не перегружая мозг в попытках учесть все факторы.